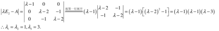
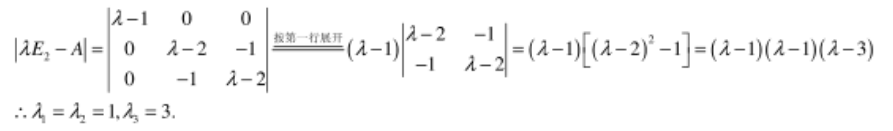
设矩阵A=,求可逆矩阵P,使为对角矩阵。

作者:高老师 浏览 1

设矩阵A=,求可逆矩阵P,使为对角矩阵。


【正确答案】:

先求出A的特征值和特征向量。


可取特证问量为








【题目解析】:

先求出A的特征值和特征向量。可取特证问量为


📱 扫码体验刷题小程序

微信小程序二维码

扫一扫使用我们的微信小程序

热门题目

已复制到剪贴板