翰林刷题,免费考试真题网站!
首页
关于我们
首页
›
分类
› 详情
作者:高老师
时间:2024-07-29
浏览 0
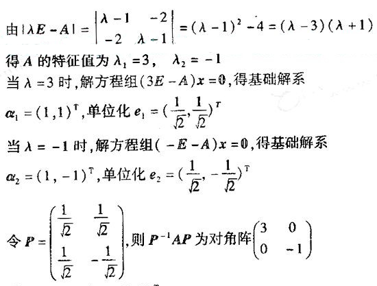
【正确答案】:
【题目解析】:
📱 扫码体验刷题小程序
扫一扫使用我们的微信小程序
热门题目
在Word中,“右对齐”方式对应的快捷键是()
各级人民检察院检察长的任期为,最高人民检察院检察长连续任职不得超过——。()
信用条件包括的三要素是()
《关于改进商业工作的若干规定》(简称“商业四十条”)明确指出:( )是现阶段我国商品流通的三条渠道,只有国营商业一条渠道造成了流
28.从连锁经营发展过程来看,________连锁是最早出现的。
不应包括在主要成本中的是()。
In much of the US, football games in high school are important (
在软件开发中常用的概念模式有许多种,主要用来描述系统状态及其转换方式的是 ( ) 。
Realism was a reaction against Romanticism and paved the way to
对于固定资产的费用化后续支出可能会被计入的账户是()
儿童肠道肌肉组织和弹力纤维发育不完善,肠蠕动能力比成人____,结肠壁_____,升结肠和直肠与腹后壁的固定较差,容易发生___
人民法院第一审行政判决书中被告的基本情况应当写明()
➕
➖
📋
⬆️
已复制到剪贴板