翰林刷题,免费考试真题网站!
首页
关于我们
首页
›
分类
› 详情
作者:高老师
时间:2024-07-29
浏览 0
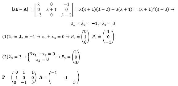
【正确答案】:
【题目解析】:
📱 扫码体验刷题小程序
扫一扫使用我们的微信小程序
热门题目
简述红军长征的意义。
对居民家庭间人均收入差距进行测算的重要工具主要是( )
下列选项中哪些属于产品市场定位策略()
We worked far into the night, but no one _________ a satisfactor
( ),即要回答我们向何处去的问题。
由于双方各自“有价值的资源”的替代来源具有很高的稀缺性而形成的渠道系统中的权利关系是
如果将所得税视为企业的一项费用,应将其列入()中
一般而言,印刷生产是
设A为n阶对称矩阵,B为n阶反对称矩阵,则下列矩阵中为反对称矩阵的是( )。
下列关于双方当事人间国际贸易争端解决的表述,正确的是
道琼斯商品价格指数的基期是()
人力资源战略属于企业战略的哪一个层次()
➕
➖
📋
⬆️
已复制到剪贴板