翰林刷题,免费考试真题网站!
首页
关于我们
首页
›
分类
› 详情
作者:高老师
时间:2024-07-29
浏览 0
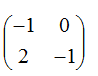
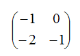
A、
B、
C、
D、
【正确答案】:B
【题目解析】:
📱 扫码体验刷题小程序
扫一扫使用我们的微信小程序
热门题目
我国的国体是( )。
试述价值规律的基本内容及其在商品经济中的作用。
一个 Word 文档有 10 个段落,在没有插入任何分节符的情况下,这个文档共有
下列不属于近二十年国际劳工组织探讨的主要问题的是 ( )
由于公司固定成本的存在,在其他条件不变的情况下,产销量的增加会()
下列支出能使用现金支付的是( )
下列各项中,属于产品成本项目的是()
集体创作原则
相互适应取向视野中的教师是()
承租人在对最低租赁付款额折现时,可采用的折现率有
王さんは英語がうまく話せるだけでなく、発音もきれいです。
compulsorya. to develop the use of, make the best use ofb. a per
➕
➖
📋
⬆️
已复制到剪贴板