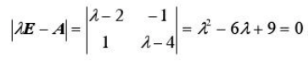
设,则A的特征值是________.

作者:高老师 浏览 2

,则A的特征值是________.


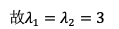
【正确答案】:

3


【题目解析】:

📱 扫码体验刷题小程序

微信小程序二维码

扫一扫使用我们的微信小程序

热门题目

已复制到剪贴板