翰林刷题,免费考试真题网站!
首页
关于我们
首页
›
分类
› 详情
求解矩阵的特征值和特征向量。
作者:高老师
时间:2024-07-29
浏览 0
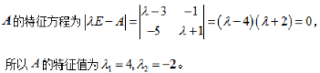
求解矩阵
的特征值和特征向量。
【正确答案】:
【题目解析】:
📱 扫码体验刷题小程序
扫一扫使用我们的微信小程序
热门题目
人们心灵世界的核心是( )
梁启超《论毅力》的成文时间是()
古代希伯来学前教育分为两个历史时期,即家庭教育时期和()教育时期。
某企业原来只生产甲乙两种产品,甲产品单位变动成本和单价分别为10元和11元,乙产品单位变动成本和单价分别为13元和15元。企业每
4.有关系R(A,B,C),主码为A;S(D,A),主码为D,外码为A,参照R中的属性A。关系R和S的元组如下表所示。关系s中违
在BSP方法中,关于划分子系统的原则,下列说法有误的是
下列关于财务综合分析的说法中,不正确的是
SQLSERVER2000的数据库文件的扩展名是()
给定的某一时期内(通常为一年)所发生的对外直接投资的数量,称为()
下列选项中,不属于汉语用来表达语法形式的句法手段的是
市场策略
➕
➖
📋
⬆️
已复制到剪贴板