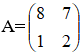
设矩阵,(1)求矩阵A的特征值与对应的全部特征向量. (2)判定A是否可以与对角矩阵相似,若可以,求可逆矩阵P和对角矩阵 ,使得

作者:高老师 浏览 0

设矩阵,(1)求矩阵A的特征值与对应的全部特征向量. (2)判定A是否可以与对角矩阵相似,若可以,求可逆矩阵P和对角矩阵 ,使得


【正确答案】:





【题目解析】:

📱 扫码体验刷题小程序

微信小程序二维码

扫一扫使用我们的微信小程序

热门题目

已复制到剪贴板