已知
,求其特征值与特征向量。
【正确答案】:
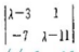
A的特征多项式=
=
=(λ-4)(λ-10)解得特征值为
,
,
,K是不为零的任意实数

L是不为零的任意实数。
【题目解析】:
A的特征多项式=
=
=(λ-4)(λ-10)解得特征值为
,
,
,k是不为零的任意实数![]()
![]()
l是不为零的任意实数。
已知
,求其特征值与特征向量。
A的特征多项式=
=
=(λ-4)(λ-10)解得特征值为
,
,
,K是不为零的任意实数

L是不为零的任意实数。
A的特征多项式=
=
=(λ-4)(λ-10)解得特征值为
,
,
,k是不为零的任意实数![]()
![]()
l是不为零的任意实数。
📱 扫码体验刷题小程序
扫一扫使用我们的微信小程序