设( )。

作者:高老师 浏览 0

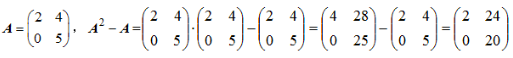
设( )。
【正确答案】:20
【题目解析】:根据定理,三角矩阵的特征值就是它的全体对角元,可知的特征值为2,20故另一个特征值为20。

📱 扫码体验刷题小程序

微信小程序二维码

扫一扫使用我们的微信小程序

热门题目

已复制到剪贴板