翰林刷题,免费考试真题网站!
首页
关于我们
首页
›
分类
› 详情
作者:高老师
时间:2024-07-29
浏览 0
A、
B、
C、
D、
【正确答案】:C
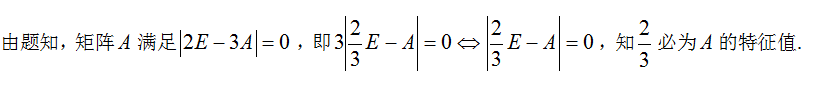
【题目解析】:
📱 扫码体验刷题小程序
扫一扫使用我们的微信小程序
热门题目
简述新民主主义革命的三大法宝及其相互关系。
下列属于企业雇用成本中直接成本的是( )
利用相关比率法进行利润预测的计算方法是
普通股每股税后利润变动率相当于息税前利润变动率的倍数,表示的是( )
中国幼儿教育史上男大学生当幼儿教师的第一人是
Complete the sentences with the words derived from the brackets.
Which of the following is closest in meaning to the word "contag
已知随机变量X服从泊松分布,且D(X)=1,则P{X=1}=______•
注册会计师在对某企业2009年度银行存款进行审计时,发现以下情况:12月31日银行存款日记账账面余额是67875元,开户银行送来
妇女服装、照相机等产品一般较适合采用的分销渠道是( )
《湛然居士文集》是下列哪位元代作家的作品
二十世纪之初,王国维花了六七年的时间研读( ) 的哲学著作,在大力宣扬他们的哲学思想的同时,运用他们的哲学思想去分析、研究文学作
➕
➖
📋
⬆️
已复制到剪贴板