翰林刷题,免费考试真题网站!
首页
关于我们
首页
›
分类
› 详情
作者:高老师
时间:2024-07-29
浏览 0
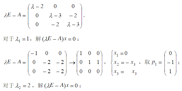
【正确答案】:
【题目解析】:
📱 扫码体验刷题小程序
扫一扫使用我们的微信小程序
热门题目
社交聚会形式之一的“沙龙”(SALON), 含义是
利益一体型劳动关系是基于( )
加上另一个前提:“B是绿的”,能否必然得出结论?为什么?
现金流量表的意义有哪些?
程序并行执行有什么好处?
某文件共有4个记录LO~L3,采用链接存储结构,每个记录及链接指针占用一个磁盘块,主存储器中的磁盘缓冲区的大小与磁盘块的大小相等
简述传输层提供的两种传输服务。
当数据采用离散的电信号表示时,这样的数据就被称为___,当数据采用电波表示时,这样的数据就被称为___。
《谁是最可爱的人》的艺术特色有( )
胳宾王《代李敬业传檄天下文》“班声动而北风起”中“班声”指的是
运用生产函数法计量教育要素对经济增长贡献的柯布一道格拉斯生产函数是,其中L为劳动投入,K为资本投入,则1-a为()
➕
➖
📋
⬆️
已复制到剪贴板