翰林刷题,免费考试真题网站!
首页
关于我们
首页
›
分类
› 详情
作者:高老师
时间:2024-07-29
浏览 2
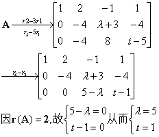
【正确答案】:
【题目解析】:
📱 扫码体验刷题小程序
扫一扫使用我们的微信小程序
热门题目
在微型计算机中,控制器的基本功能是( )。
杰文斯经济学说的理论核心是( )
请将括号中的词变为适当的形式,完成句子。この時計を娘へのお土産に( )と思います。(する)
接口按输入/输出的信号分类,可分为( )接口和模拟接口。
The definitions in____ are all in full sentences and the definit
世界贸易组织重要的多边协议包括( )
某医院拟表示一年中各月病床使用率的变化趋势,应选用的统计图是()
绩效考核即根据目标、岗位及职务标准评估员工的表现,作为奖惩的依据。
地产开发企业发掘历史渊源和传统,塑造楼盘的品牌和个性,渲染楼盘的艺术氛围和情调,提升楼盘的生活质量,开发商的开发理念或实力等,属
下列描述系统思维错误的是( )
法律渊源
园长的陈述有自发陈述和( )陈述两类。
➕
➖
📋
⬆️
已复制到剪贴板