翰林刷题,免费考试真题网站!
首页
关于我们
首页
›
分类
› 详情
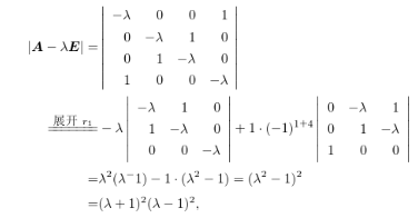
求解矩阵的特征向量:
作者:高老师
时间:2024-07-29
浏览 0
求解矩阵的特征向量:
【正确答案】:
【题目解析】:
📱 扫码体验刷题小程序
扫一扫使用我们的微信小程序
热门题目
1936年10月,中国工农红军三大主力胜利会师是在()。
在Windows中,移动窗口可通过( )。
有限责任公司和股份有限公司各自的有什么优缺点?
试述资本主义宪法产生的基本条件。
商业文化的核心和灵魂是
按照游戏的活动性强弱程度的不同,可将游戏分为哪几种?( )
《费舍法案》
幼儿园中幼儿刷牙应注意的问题有哪些
麻疹的潜伏期为( )
______是应对经济风险中非系统性风险的有效办法,其关键在于不同投资方向的相关性要低。
结构化生命周期法的主要特点是什么?
世界市场上的销售渠道包括()
➕
➖
📋
⬆️
已复制到剪贴板