翰林刷题,免费考试真题网站!
首页
关于我们
首页
›
分类
› 详情
作者:高老师
时间:2024-07-29
浏览 0
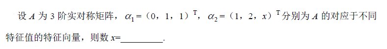
【正确答案】:
-2
【题目解析】:
📱 扫码体验刷题小程序
扫一扫使用我们的微信小程序
热门题目
按照分立后原企业是否存续的不同,企业分立可以分为新设分立和()。
国民收人再分配的主要途径有()
简述对外开放与独立自主、自力更生之间的关系。
2009年7月30日,赵某从商场购买了一个电水壶,当天他用这个水壶烧水,在水烧开赵某准备关掉开关的时候水壶突然发生爆炸,致使赵某
川端康成的第一部中篇小说是
涂尔干对社会不平等和社会分层理论做了明晰的阐述的著作是( )
与“所有的发明创造者都足天生聪明的”这一判断的负判断相等值的判断是 【 】
任何超过备用金限额的现金支出,应得到事先审批,直接在备用金中支付。
西尼尔认为,财富和价值的源泉在于劳动、自然力和
下列说法不正确的是
一般情况下,由卖方办理货物出口手续的术语有()
假定某文件由长度为50个字符的50个逻辑记录组成,磁盘存储空间被划分成长度为512个字符的块,为了有效地利用磁盘空间,采用成组方
➕
➖
📋
⬆️
已复制到剪贴板