翰林刷题,免费考试真题网站!
首页
关于我们
首页
›
分类
› 详情
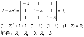
矩阵( )
作者:高老师
时间:2024-07-29
浏览 0
矩阵( )
【正确答案】:3
【题目解析】:
故非零特征值为3。
📱 扫码体验刷题小程序
扫一扫使用我们的微信小程序
热门题目
真理是有价值的,说的是
主张从儿童的乡土周围生活及其直观范围里去寻求知识的课程属于()
二难推理的简单破坏式的推理形式是()。
A有限责任公司2011年发生的有关经济业务如下:(1)按照规定办理增资手续后,将资本公积90000元转增注册资本。该公司原有注册
民间借贷
与英语相比,日语更容易些。
管理信息系统总体规划的目的是要明确系统()
生命周期法中,解决系统“做什么”的开发步骤是( )
中国注册会计师执业准则。
在社交中容易产生羞怯心理的气质类型是
李益《夜上受降城闻笛》所指的“受降城”,故址在今()
在VIS中,应用最广泛、出现频率最高的要素是( )
➕
➖
📋
⬆️
已复制到剪贴板