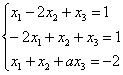
当数为何值时,线性方程组有无穷多解?并求出其通解.(要求用它的一个特解和导出组的基础解系表示)

作者:高老师 浏览 1

当数为何值时,线性方程组有无穷多解?并求出其通解.(要求用它的一个特解和导出组的基础解系表示)


【正确答案】:



【题目解析】:方程组有无穷多解,需要满足增广矩阵化为:

📱 扫码体验刷题小程序

微信小程序二维码

扫一扫使用我们的微信小程序

热门题目

已复制到剪贴板