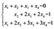
求线性方程组的通解(要求用其一个特解和导出组的基础解系表示)。

作者:高老师 浏览 0

求线性方程组的通解(要求用其一个特解和导出组的基础解系表示)。


【正确答案】:



【题目解析】:

📱 扫码体验刷题小程序

微信小程序二维码

扫一扫使用我们的微信小程序

热门题目

已复制到剪贴板