翰林刷题,免费考试真题网站!
首页
关于我们
首页
›
分类
› 详情
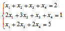
求解非齐次线性方程组的通解:
作者:高老师
时间:2024-07-29
浏览 0
求解非齐次线性方程组的通解:
【正确答案】:
【题目解析】:
📱 扫码体验刷题小程序
扫一扫使用我们的微信小程序
热门题目
当事人在合同中约定“如果太阳从西边出来,我就借给你1000元钱”,该约定是()
随着我国各级政府对房地产市场系列调控政策的推出和落实,一些房地产公司开发的楼盘出现了滞销现象。这些公司开始雇佣人员在行人聚集的地
引起公司经营风险的主要原因是()
信用政策包括( )
估价单(Estimate)
对学前特殊儿童而言,幼儿园是最主要的学习场所。
在财政总预算会计中,核算政府财政借给预算单位临时急需款项的业务,应借记的科目是( )
项目负责人最希望软件开发工具所提供的帮助是()
"Thou art slave to fate, chance, kings, and desperate men,And do
The rhetorical feature of idioms,____ is used in such idioms as"
Complete the following sentence with a (compound) word derived f
求向量组的秩和极大无关组。
➕
➖
📋
⬆️
已复制到剪贴板