翰林刷题,免费考试真题网站!
首页
关于我们
首页
›
分类
› 详情
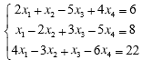
求非线性齐次方程组:
作者:高老师
时间:2024-07-29
浏览 0
求非线性齐次方程组:
【正确答案】:
【题目解析】:
📱 扫码体验刷题小程序
扫一扫使用我们的微信小程序
热门题目
名词解释:敌意并购
下列关于我国宪法中庇护权的表述,错误的是( )
下列内容中,属于紧缩性财政政策的是
租赁是资产的所有者将其资产权让渡给另一方以获得租金报酬的一种经济活动形式,其资产权是
日译汉日本の大学祭は初めてですか。
概率分布提供了每个可能值的概率,这些概率加起来必须_____________。
下列聚合函数中,不忽略空值的是
数据字典中,用以描述最小的数据组成单位的条目是
In synonymous pairs such as "die — pass away", “ask — question”,
In which of the following phrases,does the word do means"arrange
解矩阵方程
施工单位应当为施工现场从事危险作业的人员办理意外伤害保险,意外伤害保险费由______支付。
➕
➖
📋
⬆️
已复制到剪贴板