翰林刷题,免费考试真题网站!
首页
关于我们
首页
›
分类
› 详情
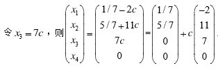
求非齐次线性方程组:
作者:高老师
时间:2024-07-29
浏览 0
求非齐次线性方程组:
【正确答案】:
【题目解析】:
📱 扫码体验刷题小程序
扫一扫使用我们的微信小程序
热门题目
1935年10月,中央红军同红十五军团胜利会师于( )
..读沿40°N亚欧大陆的1月和7月气温变化曲线图及各地年降水量分布图(图3),回答下列问题。 (1)图中A地降水量比B地少的原
试述回归分析与相关分析的区别和联系。
《网络社会的崛起》一书的作者是
「ぱ」的片假名为( )
定义实体之间交换信息的格式与结构的网络协议要素是( )
指令周期
简述在DynamicsAX中,采购订单的六种类型。
某技术人员协助决策者确定采购设备的规格、型号等。该技术人员在此购买决策中所扮演的角色是
关于承运人责任的归责原则,《汉堡规则》的规定为 【 】
在谈判过程中,用外交活动中的“无可奉告”一词回答对方问题,这种答复谈判对手的技巧是( )
患者,男性,59岁,近10年来反复出现咳嗽、咳痰,多于受凉后及冬春交季时加重,咳白色泡沫样黏痰。近5年来自觉咳嗽、咳痰加重,并逐
➕
➖
📋
⬆️
已复制到剪贴板