翰林刷题,免费考试真题网站!
首页
关于我们
首页
›
分类
› 详情
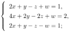
求解非齐次线性方程组的解:
作者:高老师
时间:2024-07-29
浏览 0
求解非齐次线性方程组的解:
【正确答案】:
【题目解析】:
📱 扫码体验刷题小程序
扫一扫使用我们的微信小程序
热门题目
不同的时代具有不同的时代精神。当今时代,我们大力弘扬的时代精神的核心是()。
下列属于季节性失业的是()。
微观的学前教育管理活动指的是
儿童通过运用已有的知识经验,对一些问题发表意见,从而达到自我教育的方法是( )
下列关于利润的表述正确的有
一般源程序经过编译后,要先经过人工测试,然后再进行机器测试,机器测试主要有两种方法()
如果您是一名系统维护人员,请简要叙述系统维护的工作流程.
重复校验
说明动态建模的过程。
简述消费者权益争议的解决途径。
药品广告审查机关应当自受理之日起______个工作日内,对申请人提交的证明文件的真实性,合法性、有效性进行审查,并依法对广告内容
数据库的特殊权利
➕
➖
📋
⬆️
已复制到剪贴板