翰林刷题,免费考试真题网站!
首页
关于我们
首页
›
分类
› 详情
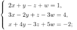
求解非齐次线性方程组的解:
作者:高老师
时间:2024-07-29
浏览 0
求解非齐次线性方程组的解:
【正确答案】:
【题目解析】:
📱 扫码体验刷题小程序
扫一扫使用我们的微信小程序
热门题目
瓦楞纸箱的缺点主要体现为
在Word 2010中,连续进行了两次“插入”操作,当单击一次“撤消”按钮后
资产负债表日,有关应付债券核算方法正确的处理方法是
论述课题选择的原则。
所有者权益与负债有何联系与区别?
毎朝 6時に 家()出ます。
请将下列句中划线汉字的假名写在答题卡上。煙草を吸う( )
America has found most problems it recognized as soluble. China,
The boss urged his workers().
设A、B为同阶方阵,则必有().
设x1,x2,…,xn为来自总体X的样本,E(X)=,为未知参数,若c为的无偏估计,则常数c=_______________.
简述结构化设计方法的核心内容。
➕
➖
📋
⬆️
已复制到剪贴板