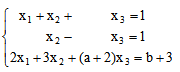
当a, b为何值时,方程组有无穷多解?并求出其通解

作者:高老师 浏览 1

当a, b为何值时,方程组有无穷多解?并求出其通解


【正确答案】:


即A=-1,B=0时

方程有无穷多解






【题目解析】:即a=-1,b=0时方程有无穷多解

📱 扫码体验刷题小程序

微信小程序二维码

扫一扫使用我们的微信小程序

热门题目

已复制到剪贴板