设4阶矩阵A的秩为3,为非齐次线性方程组Ax =b的两个不同的解,c为任意常数,则该方程组的通解为( )。

作者:高老师 浏览 1

设4阶矩阵A的秩为3,为非齐次线性方程组Ax =b的两个不同的解,c为任意常数,则该方程组的通解为( )。


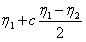
A、
B、
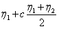
C、
D、
【正确答案】:A
【题目解析】:

📱 扫码体验刷题小程序

微信小程序二维码

扫一扫使用我们的微信小程序

热门题目

已复制到剪贴板