翰林刷题,免费考试真题网站!
首页
关于我们
首页
›
分类
› 详情
求非齐次方程组的通解。
作者:高老师
时间:2024-07-29
浏览 0
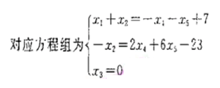
求非齐次方程组
的通解。
【正确答案】:
【题目解析】:
📱 扫码体验刷题小程序
扫一扫使用我们的微信小程序
热门题目
试述统计调查的一般程序。
下列各项投资收益中,按税法规定免交所得税,在计算纳税所得时应予以调整的项目有()
试述广告创作必须服从广告策划的原因。
日本第三个幼儿园教育振兴计划要求到2001年实现
下列属于合同成本法特征的是
HDLC的三种帧类型是信息帧、管理帧和( )。
系统测试的目的不是证明程序的正确,而是尽量的发现____
胡应麟认为“首创元音”的元代文人是()
散文包含了以下哪几个“类”文体?
被后人称为杜甫“生平第一快诗”的是()
目前临床上诊断急性呼吸窘迫综合征最常用也是必须具备的指标是
从劳动力的复杂程度上考察,教师劳动属于()
➕
➖
📋
⬆️
已复制到剪贴板