( )

作者:高老师 浏览 0

( )
A、-2
B、-1
C、1
D、2
【正确答案】:A
【题目解析】:

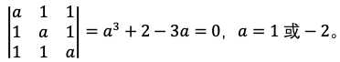
对于非齐次线性方程组,系数行列式的值为0,且增广矩阵的秩等于系数矩阵秩时,方程组有无穷多解。当a=-2时,增广矩阵和系数矩阵的秩都为2,故选A。


📱 扫码体验刷题小程序

微信小程序二维码

扫一扫使用我们的微信小程序

热门题目

已复制到剪贴板