翰林刷题,免费考试真题网站!
首页
关于我们
首页
›
分类
› 详情
作者:高老师
时间:2024-07-29
浏览 0
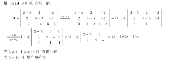
【正确答案】:
【题目解析】:
📱 扫码体验刷题小程序
扫一扫使用我们的微信小程序
热门题目
恶性窜货最常用的方法是()。
Immigration and Problems Hundreds of thousands of people support
在一项关于吸烟的态度调查访谈中,被试(被调查者、被问者)回答说:“我看到我身边的人吸烟,就讨厌、生气”。这种表现主要是说明态度三
某企业拥有净资产£160000,净流动资产£60000,没有长期负债。下列哪一项是该企业的固定资产额()
利用“五种竞争力”分析方法帮助小李和小张分析食品超市面临的主要竞争压力。
常用的体温表分水银体温计和_____两类。
The audiences were small. and even if Rudolf had been really fir
瘦狗类战略业务单位的特征是
影响销售团队士气的主要原因有( )
“北地三才”中除了邢劭、魏收外还有( )
迈克尔•里杰斯特认为,经常成为组织的一个转折点的是()
以“关系网”为基础组织起来的利益群体大都属于( )
➕
➖
📋
⬆️
已复制到剪贴板