翰林刷题,免费考试真题网站!
首页
关于我们
首页
›
分类
› 详情
作者:高老师
时间:2024-07-29
浏览 1
A、1
B、2
C、3
D、4
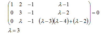
【正确答案】:C
【题目解析】:
📱 扫码体验刷题小程序
扫一扫使用我们的微信小程序
热门题目
由一个自然人投资,投资人以其个人财产对企业债务承担无限责任的经营实体是
函数ƒ(x)=√(25-x2)+ln(cosx)的有意义的区域为()
直接投资包括的三类企业可称为()
某企业有供电、机修两个辅助生产车间,6月份供电车间发生的费用为11250元,提供的劳务量分别是:机修车间2500度,基本生产车间
找出横线部分的假名中国の名産品です。()
NetFlow技术是一种典型的基于_____模型的L3交换解决方案。
Translate the following underlined sentences into English.历史经验证明
简述市场撇脂最大化定价目标适用的条件。
近体诗非常讲究平仄,什么叫平,什么叫仄?以五言诗为例,写出近体诗的四种句式。
治疗蛇咬伤患者时,抗蛇毒血清在伤后_________小时内应用疗效更显著。
常用的详细设计工具有程序流程图、______、问题分析图和类程序设计语言。
质量管理体系中阐明要求的文件成为质量要求。( )
➕
➖
📋
⬆️
已复制到剪贴板