翰林刷题,免费考试真题网站!
首页
关于我们
首页
›
分类
› 详情
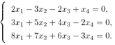
求解齐次线性方程组的解:
作者:高老师
时间:2024-07-29
浏览 0
求解齐次线性方程组的解:
【正确答案】:
【题目解析】:
📱 扫码体验刷题小程序
扫一扫使用我们的微信小程序
热门题目
工作性质充分相似的所有职位的总称是
一般认为,游戏性体验可以分为以下哪几种主要成分?
简述5-6岁儿童量的感知能力的发展特点。
一般企业发生年亏损时可以用下一纳税年度的所得弥补,下一年度所得不足弥补的可逐年延续,但最长不得超过(
企业估算银行利息收入时应
收入型基金适合于()
简述用资产基础法评估企业价值的缺点。
保护幼稚工业论的代表人物是( )
下列关于平均报酬率的说法中错误的是()
同业企业间产品差异化程度越低,用户转换成本越低,企业之间竞争越激烈。
简析《竹里馆》是怎样表现人与自然关系的。
按照我国《医院急诊科规范化流程》规定的急诊患者病情分类,1级(A类)患者是指
➕
➖
📋
⬆️
已复制到剪贴板