翰林刷题,免费考试真题网站!
首页
关于我们
首页
›
分类
› 详情
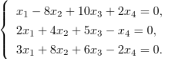
求解齐次线性方程组的解:
作者:高老师
时间:2024-07-29
浏览 0
求解齐次线性方程组的解:
【正确答案】:
【题目解析】:
📱 扫码体验刷题小程序
扫一扫使用我们的微信小程序
热门题目
1946年,中共决定将减租减息政策改为实现“耕者有其田”政策的文件是( )
新时期两岸关系的主题是( )。
世界上第一所幼儿园的创立者是( )
合并会计报表最早出现于( )。
下列货币资金内部控制的关键环节中,存在重大缺陷的是()。
用来描述财政支出增长规律的是( )
机物料消耗和辅助生产车间工人工资等,均属于间接生产费用。()
废品损失,是指在生产过程中发现和入库后保管不善等原因发生的各种废品的报废损失和修复费用()。
诗句“走马西来欲到天,辞家见月两回圆”出自()。
《柳毅传》中,要将龙女强配柳毅的是
幼儿期是人生第一个转折期,此期小儿开始具备的特点是
肺癌术后的健康教育不恰当的是()
➕
➖
📋
⬆️
已复制到剪贴板