翰林刷题,免费考试真题网站!
首页
关于我们
首页
›
分类
› 详情
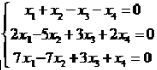
求解齐次线性方程组:
作者:高老师
时间:2024-07-29
浏览 0
求解齐次线性方程组:
【正确答案】:
【题目解析】:
📱 扫码体验刷题小程序
扫一扫使用我们的微信小程序
热门题目
1947年10月10日,中国人民解放军总部发表宣言提出的口号是()
学习、运用马克思主义的正确态度是不把它当做教条,而是当做行动的指南。简述其理由。
下列属于人文景观的是
学前教育目标是促进儿童身体的、情绪的、智能的和社会性的全面发展,这是( )
一般纳税人委托其他单位加工材料收回后直接对外销售的,其发生的下列支出中,不应计入委托加工材料成本的是( )。
会计主体
The product will find a good market in USA.
In Oliver Twist ,Charles Dickens criticizes the().
假定A公司与非关联企业B公司签订了企业合并协议,条款如下:(1)A公司通过发行新股,取得了B公司全部的股份。(2)B公司原股东以
应收账款函证的数量和范围由哪些因素决定?
试论苏轼诗歌的艺术特色。
公关一般人员包括.
➕
➖
📋
⬆️
已复制到剪贴板