翰林刷题,免费考试真题网站!
首页
关于我们
首页
›
分类
› 详情
。
作者:高老师
时间:2024-07-29
浏览 0
。
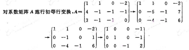
【正确答案】:
【题目解析】:
📱 扫码体验刷题小程序
扫一扫使用我们的微信小程序
热门题目
常用来采集和输入生产过程数据的输入方式是()。
某种产品的2009年、2010年、2011年的实际销售量分别为20万件、30万件、40万件,如采用移动平均法,2012年的预测销
公有制的主体地位体现在()
判断方程 在区间 内是否有实根,并说明理由.
消费者的时间预算及其结构
阿德勒认为一部分人有自卑感。
下列概念中,属于负概念的有()。
根据我国对汇兑损益进行账务处理的要求,下列叙述正确的是()
关系数据库设计理论的核心内容是()
系统分析第一阶段的主要任务是( )
甲国A公司出售货物给乙国B公司,双方签订一份CFR合同。承运人C公司负责货物运输,保险公司D为该批货物办理保险手续。船舶在海上航
企业目标市场选择和市场定位的基础和前提是()。
➕
➖
📋
⬆️
已复制到剪贴板