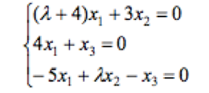
求λ取何值时,齐次方程组有非零解?并在有非零解时求出方程组的通解。

作者:高老师 浏览 0

求λ取何值时,齐次方程组有非零解?并在有非零解时求出方程组的通解。


【正确答案】:




【题目解析】:

📱 扫码体验刷题小程序

微信小程序二维码

扫一扫使用我们的微信小程序

热门题目

已复制到剪贴板