翰林刷题,免费考试真题网站!
首页
关于我们
首页
›
分类
› 详情
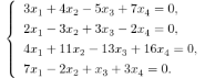
求解齐次线性方程组的解:
作者:高老师
时间:2024-07-29
浏览 0
求解齐次线性方程组的解:
【正确答案】:
【题目解析】:
📱 扫码体验刷题小程序
扫一扫使用我们的微信小程序
热门题目
基金管理人或者基金托管人不按照规定召集基金份额持有人大会的,责令改正,可以处( )万元以下罚款;对直接负责的主管人员和其他直接责
《秋夜》是一篇()
1只绵羊=2把石斧,这个公式表示出价值形式的哪个发展阶段?()
复制、剪切和( )操作是Word 2010中最常见的文本操作。
基本可以满足编辑文档的需求的是 ( )
中国古代监察制度有什么借鉴意义?
企业发行债券时,当债券的票面利率等于市场利率时,应选择的发行方式是( )
德育主要适用于( )
设计一个以“影子”为主题的大班正规性科学活动。
2006年末,某上市公司发现所使用的甲设备技术革新和淘汰速度加速,决定从下年起将设备预计折旧年限由原来的10年改为6年,该事项属
下列选项中,财政总预算会计应遵循的财政存款管理要求是( )
简述信息资源规划的产生原因。
➕
➖
📋
⬆️
已复制到剪贴板