翰林刷题,免费考试真题网站!
首页
关于我们
首页
›
分类
› 详情
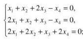
求齐次线性方程
作者:高老师
时间:2024-07-29
浏览 1
求齐次线性方程
【正确答案】:
【题目解析】:
📱 扫码体验刷题小程序
扫一扫使用我们的微信小程序
热门题目
与传统商店相比,网上商店()
常用的调查方法有
下列工作分析方法中,在对脑力工作者如开发人员、设计人员等进行的工作分析中,最为常用的是
哪一项是Z理论组织的特征?()
企业广告中长期计划的综合性目标是( )
指出下述案例中探求因果联系的逻辑方法,并写出其逻辑结构。当我们在有空气的地方加热易燃物体时,就会出现燃烧现象;但在真空中,水中或
じゅぎょう( )
下列对我国内地供应港澳地区的货物运输方式的叙述正确的是()
在开发大型软件的过程中,为什么软件开发人员的组织与协调会带来困难?
国际贸易条约与协定作为国际条约的一个构成部分,应具备国际条约的以下一般特性()
将危机管理的阶段划分为危机潜在期、危机突发期、危机蔓延期、危机恢复期四个阶段的提 出者是
合理的统计表可以简单正确表达统计数据和_________,避免冗长的文字叙述。
➕
➖
📋
⬆️
已复制到剪贴板