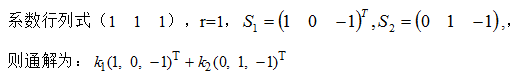
三元齐次线性方程组的通解是( ) 作者:高老师 时间:2024-07-29 浏览 0 三元齐次线性方程组的通解是( )【正确答案】:,为任意实数。【题目解析】: 📱 扫码体验刷题小程序 扫一扫使用我们的微信小程序