求齐次线性方程组
的一个基础解系。
【正确答案】:
将其系数矩阵化为简化行阶梯形矩阵T。

根据T写出原方程组的同解方程组


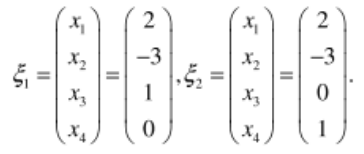
于是可以得到一个基础解系

【题目解析】:
将其系数矩阵化为简化行阶梯形矩阵T。
根据T写出原方程组的同解方程组
于是可以得到一个基础解系
求齐次线性方程组
的一个基础解系。
将其系数矩阵化为简化行阶梯形矩阵T。

根据T写出原方程组的同解方程组


于是可以得到一个基础解系

将其系数矩阵化为简化行阶梯形矩阵T。
根据T写出原方程组的同解方程组
于是可以得到一个基础解系
📱 扫码体验刷题小程序
扫一扫使用我们的微信小程序