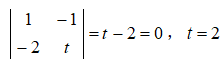
已知方程组存在非零解,则常数t=( )。

作者:高老师 浏览 0

已知方程组存在非零解,则常数t=( )。


【正确答案】:

2


【题目解析】:

📱 扫码体验刷题小程序

微信小程序二维码

扫一扫使用我们的微信小程序

热门题目

已复制到剪贴板