翰林刷题,免费考试真题网站!
首页
关于我们
首页
›
分类
› 详情
作者:高老师
时间:2024-07-29
浏览 1
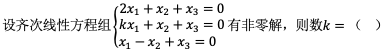
A、-2
B、-1
C、1
D、2
【正确答案】:D
【题目解析】:
📱 扫码体验刷题小程序
扫一扫使用我们的微信小程序
热门题目
以公有制为主体、多种所有制经济共同发展,是我国社会主义初级阶段的
期望理论表达公式M=V×E中,E所代表的是()
“固定资产”与“累计折旧”账户均属于资产类账户,但两者余额方向相反。
Beijing RisingChina remains primarily a nation of farmers, and t
局部变量必须在存储过程体的_______声明。
remorse 这个单词的意思是( )
融资租赁业务中,出租人实际收到的或有租金应计入( )
在规划的各个层面上都要保持平衡。首先是战略层次的平衡,然后是()
鸦片战争时期,主张“尊情”的爱国诗人的创作体现出了文学在性质上的新变化。这些诗人主要有:
铁的主要吸收部位是()
对于呈偏态分布的计量资料,常采用的统计学方法包括( )
➕
➖
📋
⬆️
已复制到剪贴板