翰林刷题,免费考试真题网站!
首页
关于我们
首页
›
分类
› 详情
作者:高老师
时间:2024-07-29
浏览 1
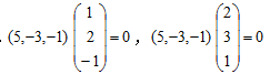
A、(5,-3,-1)
B、
C、
D、
【正确答案】:A
【题目解析】:
📱 扫码体验刷题小程序
扫一扫使用我们的微信小程序
热门题目
权利与义务一致性原则的渊源,可以追溯到谁所说的“没有无义务的权利,也没有无权利的义务”
现行宪法规定,中华人民共和国的根本制度是
资产流动性风险最高的消费信贷是()
简述股票的特性。
备抵法下,估计坏账损失的方法有
20世纪50年代末至60年代末,西方世界兴起了一场指向于教育内容现代化的课程改革运动。这场运动被称为 ( )
三角矩阵可压缩存储到数组()中。
下列国际贷款担保中属于信用担保的有
钟惺《浣花溪记》中的“浣花溪”所在的地点是
夏衍《包身工》的文体是
“组”的定义
➕
➖
📋
⬆️
已复制到剪贴板