翰林刷题,免费考试真题网站!
首页
关于我们
首页
›
分类
› 详情
作者:高老师
时间:2024-07-29
浏览 0
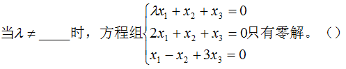
A、1
B、2
C、3
D、4
【正确答案】:B
【题目解析】:
📱 扫码体验刷题小程序
扫一扫使用我们的微信小程序
热门题目
社会主义核心价值体系的灵魂是
对资本主义工商业的社会主义改造的经验和意义
企业实力不断衰退,无法固守最后的细分市场,准备退出这一经营领域,转移到一个新的经营领域所作出的谋划与方略。这种竞争战略属于(
结合教育实际,举例论述树立正确的游戏教育观。
在工厂交货条件下,办理货物出口手续的责任在()
软件开发工具的一般结构有哪些?
下列属于自然灾害神话的有()
孔子的“草上之风必偃”可以形象地说明美育的特点是( )
卢纶的《逢病军人》是一首()。
“弟弟吃苹果”不能说成“苹果弟弟吃'这是受制于语言符号的
C语言可执行程序的开始执行点是()
下列事件中,承包商可以向业主提出费用索赔的有( )。
➕
➖
📋
⬆️
已复制到剪贴板