设
,求该向量组的秩和一个极大无关组。
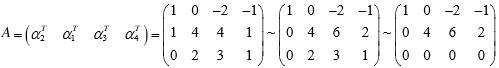
【正确答案】:

所以向量组的秩是2,因为任意两个向量均不成比例,所以任意两个向量都是该向量组的一个极大无关组。
【题目解析】:
所以向量组的秩是2,因为任意两个向量均不成比例,所以任意两个向量都是该向量组的一个极大无关组。设
,求该向量组的秩和一个极大无关组。

所以向量组的秩是2,因为任意两个向量均不成比例,所以任意两个向量都是该向量组的一个极大无关组。
所以向量组的秩是2,因为任意两个向量均不成比例,所以任意两个向量都是该向量组的一个极大无关组。📱 扫码体验刷题小程序
扫一扫使用我们的微信小程序