设3元实二次型的秩为3,正惯性指数为2,则此二次型的规范形式________。

作者:高老师 浏览 1

设3元实二次型的秩为3,正惯性指数为2,则此二次型的规范形式________。


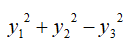
【正确答案】:



【题目解析】:

📱 扫码体验刷题小程序

微信小程序二维码

扫一扫使用我们的微信小程序

热门题目

已复制到剪贴板