翰林刷题,免费考试真题网站!
首页
关于我们
首页
›
分类
› 详情
作者:高老师
时间:2024-07-29
浏览 0
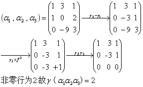
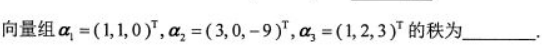
【正确答案】:
2
【题目解析】:
📱 扫码体验刷题小程序
扫一扫使用我们的微信小程序
热门题目
简述薪酬调查的步骤。
( )薪酬体系是以员工所从事工作的相对价值为基础。
简述隐性课程的特点。
30年代继续延着叶圣陶开创的现实主义道路走下去的童话作家是
进程控制块中说明信息的内容包含有
什么是数据库的安全性?
审计档案的所有权应属于()
试述欧洲货币市场的含义及其迅速发展的主要原因。
以下有关WTO成员对具体服务业的承诺中说法错误的是()
会计核算形式主要有()
有关合作学习的特点,正确的是
学校管理目标能引导组织成员的行为,影响其认识、情感和意志,保持学校管理活动的稳定性和完整性。这是指学校管理目标的
➕
➖
📋
⬆️
已复制到剪贴板