作者:高老师 浏览 1


A、1
B、​2
C、​3
D、4
【正确答案】:B
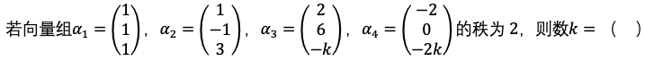
【题目解析】:向量组的秩为2,说明4-2k=2-k=0,k=2。

📱 扫码体验刷题小程序

微信小程序二维码

扫一扫使用我们的微信小程序

热门题目

已复制到剪贴板