翰林刷题,免费考试真题网站!
首页
关于我们
首页
›
分类
› 详情
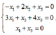
判定向量组是否线性相关:
作者:高老师
时间:2024-07-29
浏览 0
判定向量组是否线性相关:
【正确答案】:
【题目解析】:
📱 扫码体验刷题小程序
扫一扫使用我们的微信小程序
热门题目
人类从记数、计数到计算,经历了漫长的历史阶段,即从手工阶段、机械阶段,一直发展到现今的( )阶段。
简述称职父母的典型特征
提高小学教师自身审美素养的知识基础是
农村信用社的性质是
deal
The meanings of many words often relate directly to their origin
现金预算包括
【2013年7月第30题】单项选择题:长篇小说《青春之歌》的艺术特点是()
注意可分为_____和_____。婴儿时期以_____为主,_____岁后小儿才能较好地控制自己的注意力。
在Java程序中声明一个数组,错误的是()
在公司召开的一次会议上,李总对销售部经理几次举手要发言的行为不予理睬,之后销售经理不再举手发言。李总对销售部经理的做法属于强化理
简述交换存在的社会基础。
➕
➖
📋
⬆️
已复制到剪贴板