翰林刷题,免费考试真题网站!
首页
关于我们
首页
›
分类
› 详情
作者:高老师
时间:2024-07-29
浏览 0
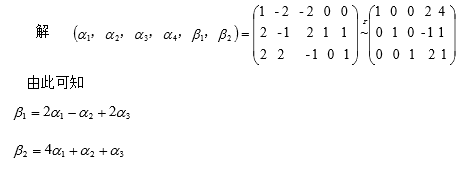
【正确答案】:
【题目解析】:
📱 扫码体验刷题小程序
扫一扫使用我们的微信小程序
热门题目
企业在面对客户数量极其庞大,而且企业提供的产品或服务边际利润水平很低,那么,应采用“伙伴型”的客户关系。
《如何避免愚蠢的见识》这篇文章主要从哪个角度告诉人们如何少犯错误?()
简述生产集中会形成垄断的原因。
幼儿园游戏的实施从教育者的立场看应遵循教育性原则,从幼儿的立场看应遵循的原则是
(2013.07.7)单项选择题:有人说:“科学不是宗教,宗教都主张信仰,所以主张信仰都不科学。”最能说明上述推理不成立的是()
植物必须先开花,才能产生种子,有两种龙蒿——俄罗斯龙蒿和法国龙蒿,它们看起来非常相似,俄罗斯龙蒿开花而法国龙蒿不开花,但是俄罗斯
将会员资格费作为无形资产处理的是( )。
适用于单位或个人向异地支付各种款项的结算方式有()
The homeless child was once treated as a _______ by the owner of
某公司2009年度有关资料如下:(1)公司拥有普通股400万元(每股面值10元),优先股200万元(每股面值10元);(2)当年
目前常用的企业资源计划的简称是()
在固定资产盘点表上签章的主要人员是()
➕
➖
📋
⬆️
已复制到剪贴板