翰林刷题,免费考试真题网站!
首页
关于我们
首页
›
分类
› 详情
作者:高老师
时间:2024-07-29
浏览 0
A、-24
B、-12
C、12
D、24
【正确答案】:B
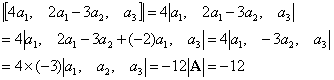
【题目解析】:
。
📱 扫码体验刷题小程序
扫一扫使用我们的微信小程序
热门题目
由学者或其他个人或组织对法律的内容做出的学术性的解释是()
西湖龙井、金华火腿等标志属于 ( )
试述工会在劳动力市场中的功能。
失业保险所需要的资金主要来源于( )。
利率完全由需求和供给力量决定,不受政府干涉的是
每个人的劳动力供给曲线最终都将终止于
试述税收的经济稳定效应。
按照与租赁资产所有权有关的风险和报酬是否可以转移,将租赁分为
trade in service
a temple fair
Lexical context refers to the cases in which the meaning of a wo
注册会计师可以通过实施实质性程序改变( )。
➕
➖
📋
⬆️
已复制到剪贴板