翰林刷题,免费考试真题网站!
首页
关于我们
首页
›
分类
› 详情
求线性方程组的通解。
作者:高老师
时间:2024-07-29
浏览 0
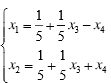
求线性方程组
的通解。
【正确答案】:
【题目解析】:
📱 扫码体验刷题小程序
扫一扫使用我们的微信小程序
热门题目
通过扩大社会总需求规模来刺激经济增长的政策属于
对幼儿教育提出“教化成性”观点的是( )
下列项目中,属于留存收益的有( )。
投机者是指从事的外汇交易不与实体交易相联系,而是通过()采取相应买卖行为,进而谋取收益的银行、企业或者个人。
()是一成员的服务提供者在任何其他成员境内通过自然人提供服务。
According to(), the pathetic tragedy of women lies in their very
Travelers flying across time zones often find themselves exhaust
Lie detector is a device that helps determine whether a person i
在相同条件下,对企业长期偿债能力分析,下列()指标与资产负债比率之和等于1.
对同一税目的商品按其价格的高低制定不同税率并依此征税,这种计税标准是()
某工业企业某级工人加工甲、乙两种产品。甲产品工时定额为30分钟,乙产品工时定额为45分钟。该级工人的小时工资率为6.6元。该工人
沙汀20世纪40年代创作的“三记”有()
➕
➖
📋
⬆️
已复制到剪贴板