翰林刷题,免费考试真题网站!
首页
关于我们
首页
›
分类
› 详情
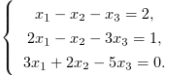
利用矩阵解线性方程组:
作者:高老师
时间:2024-07-29
浏览 0
利用矩阵解线性方程组:
【正确答案】:
【题目解析】:
📱 扫码体验刷题小程序
扫一扫使用我们的微信小程序
热门题目
道德对现实生活的调节方式与法律有着明显的区别,其中一个重要表现是( )
针对差别市场的广告有哪些基本形式?
根据某企业生产的产品产量(X)和单位产品成本(Y)资料,可得以下数据:根据所给资料,建立单位成本对产量的回归直线,并解释直线中参
《管理决策新科学》是美国著名管理学家、1978年诺贝尔经济学奖获得者______的名著。
通常,按照计算机网络的覆盖范围可以将其分为局域网、_______和广域网。
依靠特定的或暗指的能力满足特定需要的产品或服务的全部功能和特征,就是
简述测试的内容
简述指令重叠解释的概念及实现重叠解释必须满足的要求。
同相比例运算电路的负反馈类型是
完整的宗法制度出现于()
如何理解经济法的基本特征?
( )是以书面提出问题的方式,收集资料的一种研究方法。调查人员将所要研究的问题编制成问题表格以邮寄、当面作答、或者追踪访问的方式
➕
➖
📋
⬆️
已复制到剪贴板